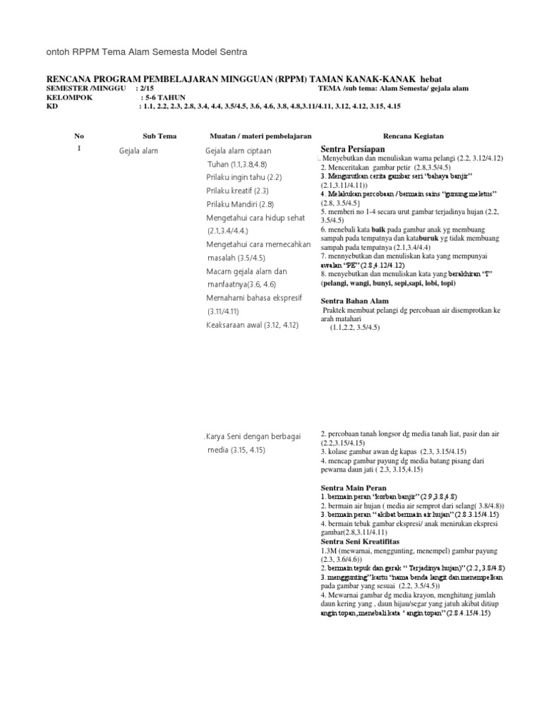
Image
Author Wednesday, May 19, 2021

45+ Contoh Gambar Kolase Tema Alam Semesta Images

Contoh membuat subtema alam semesta untuk paud paud jateng. Lomba kolase ibu dan anak tkaisyiah singaraja bali duration.

750 Koleksi Contoh Kolase Tema Alam Semesta Hd Terbaru Kumpulan Gambar Kolase
750 Koleksi Contoh Kolase Tema Alam Semesta Hd Terbaru Kumpulan Gambar Kolase from source i1.wp.com
Dihalaman ini anda akan melihat gambar kolase hewan yang ! Gambar tersebut bisa anda unduh langsung, caranya silahkan klik pad. Artikel laman 2 dunia belajar anak.

4 langkah menggambar dan mewarnai pemandangan alam di.

15 kumpulan contoh gambar untuk belajar mewarnai anak tk paud. Ra nahdlatus shibyan desa kalipucang kulon, welahan jepara. Manfaatkan kertas warna dan origami gambar kolase ra kartini. Perubahan iklim dalam wujud gambar cara menggambar pemandangan alam agar hasilnya bagus contoh gambar.